ALGORITMIEN SUUNNITTELU JA ANALYYSI
Kevät-2007
Harjoitus 2. (viikolla 5)
1. Kuvaa sanallisesti puun ja verkon
läpikäyntialgoritmien periaatteet. Puun
läpikäyntialgoritmit, syvyyssuuntainen- ja
leveyssuuntainen läpikäynti, ovat monisteen sivulla 12 ja verkon vastaavat
algoritmit ovat monisteen sivulla 13.
(Vrt. Luennoissa oleva lause "vieraile sellaisen solmun lapsessa,
jolla on vielä vierailemattomia lapsia ja jonka vierailusta on kulunut
mahdollisimman paljon aikaa".)
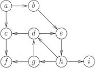
2. Piirrä seuraavasta verkosta
saatava (eräs) syvyyssuuntainen virittävä metsä, kun haku alkaa solmusta e. Merkitse kuvaan lisäksi erikseen etenevät
kaaret, takautuvat kaaret ja poikittaiskaaret.

3. Piirrä
edellisen tehtävän verkosta saatava (eräs) leveyssuuntainen virittävä metsä,
kun haku alkaa solmusta a. Merkitse tähänkin kuvaan lisäksi erikseen
etenevät kaaret, takautuvat kaaret ja poikittaiskaaret.
4. Eräs syklittömän suunnatun verkon
(eli DAGin) visualisointialgoritmi jakaa aluksi
verkon solmut päällekkäisiin kerroksiin niin, että kaikki verkon kaaret
osoittavat alaspäin:
Kerros 1 Kerros 2 Kerros 3
Algoritmi siis valitsee
jokaiselle verkon solmulle kerroksen sillä rajoituksella, että jokaisen kaaren
alkupään kerros on pienempi kuin sen loppupään kerros.
Kirjoita algoritmi (pseudokoodi),
joka tekee jaon kerroksiin. Yritä tehdä algoritmista sellainen, että kerroksia
tulee mahdollisimman vähän. Vihje: Sellaiset solmut, joiden lähtöaste on 0,
sopivat esimerkiksi alimpaan kerrokseen.
Toteuta tehtäväpaperin taustapuolen esiinkääntämissuorite.
5. Maksimaalisen osajoukon
ongelmassa etsitään kokonaislukujonosta yhtenäistä osaa, joka antaa suurimman
lukujen summan. Esimerkiksi jonosta
[-1,2,3, -5, 7, -2, 5, 1, -1] suurin summa on 11, joka tulee jonon osasta [7,
-2, 5, 1].
Seuraavassa on kaksi algoritmia
suurimman summan etsimiseen:
procedure maxsummal (F:
integer[n])
begin
maxsumma ← 0 ;
for vasen ← 1 to
n do
for oikea ← vasen to n do
begin
summa ← 0 ;
for i ← vasen to oikea do
summa ← summa +F[i] ;
if summa> maxsumma then maxsumma ← summa
end ;
return maxsumma
end
procedure maxsumma2 (F: integer[n])
begin
scanmax 0; vanhamax
← 0;
for i
← 1 to n do
begin
if scanmax
+ F[i] >
0
then scanmax
← scanmax + F[i]
else scanmax
← 0 ;
if scanmax > vanhamax then vanhamax
← scanmax
end ;
return vanhamax
end
a) Selitä, miten kumpikin algoritmi toimii.
b) Mitkä ovat em. algoritmien aikavaatimukset?
6. Binäärihaku on toteutettu
rekursiivisella proseduurilla. Kirjoita
algoritmin aikavaatimusta T(n) kuvaava rekursioyhtälö ja ratkaise se.